数据结构 | 图
概念
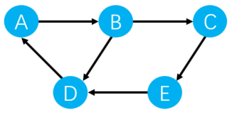
图是网络结构的抽象模型,是一组由边连接的节点。

avaScript 中没有图,但可用Object和Array构建图。
上述图可用邻接矩阵表示为:

上述图可用邻接表表示为:
const graph = {
A: ['B'],
B: ['C', 'D'],
C: ['E'],
D: ['A'],
E: ['D'],
};
遍历
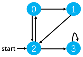
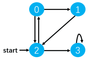
有如下图,起点为节点2:

// start:2
const graph = {
0: [1, 2],
1: [2],
2: [0, 3],
3: [3],
};
深度优先遍历
尽可能深地搜索图的分支,深搜就是依靠递归的方法来进行的搜索。

- 访问根节点
- 对根节点的未访问过的相邻节点依次进行深度优先遍历
// 深度优先遍历图
// 已访问过的节点集合
const visited = new Set();
const dfs = n => {
visited.add(n);//start 结点
graph[n].array.forEach(e => {
if(!visited.has(e))
dfs(e);//递归深度遍历结点
});
};
广度优先遍历
先访问离根节点最近的节点。

- 新建队列,根节点入队
- 队头出队并访问
- 队头的未访问过的相邻接点入队
- 重复 2、3 步骤,直至队列为空
// 广度优先遍历图
// 已访问过的节点集合
const graph = {
0: [1, 2],
1: [2],
2: [0, 3],
3: [3],
};
const visited = new Set();
const list=[];
const bfs = n => {
visited.add(n);//start 结点
list.push(n);
console.log(n)
while(list.length){
let curvisit = list.shift();//队头出队,再遍历它的子结点
graph[curvisit].forEach(e => {
if(!visited.has(e)){
visited.add(e);//遍历最近结点
list.push(e);//结点入队
console.log(e)
}
});
}
};
bfs(2)
阅读剩余
版权声明:
作者:chun
链接:https://chun53.top/860.html
文章版权归作者所有,未经允许请勿转载。
THE END